Tin bất động sản nổi bật tuần qua: Quảng Ninh lên tiếng về hình ảnh “Hòn non bộ khủng” gây bão mạng tại Vân Đồn
Quảng Ninh thông tin về Dự án Ao Tiên; Cenland dự chi 760 tỷ đồng đầu tư vào dự án HUD MeLinh Central; Kon Tum đấu giá 44 lô đất tại một dự án khu tái định cư; Chủ dự án Tecco Diamond Thanh Trì bị phạt 90 triệu đồng; Tạm dừng điều chỉnh quy hoạch hơn 1.560 ha tại khu du lịch Bãi Dài; Khu Liên hợp Thể thao Quốc gia Mỹ Đình nợ gần 900 tỷ đồng tiền thuế là những thông tin đáng chú tuần qua.
Quảng Ninh lên tiếng về hình ảnh “Hòn non bộ khủng” gây bão mạng tại Vân Đồn
Theo thông tin được phát đi trên cổng thông tin điện tử tỉnh Quảng Ninh chiều ngày 16/8, UBND tỉnh này khẳng định, hình ảnh về một dự án ven biển xuất hiện trên mạng xã hội và được cho là lấn biển, xâm hại Vịnh Hạ Long để phân lô, bán nền là không đúng sự thật.
Cũng theo tỉnh này, hình ảnh trên hoàn toàn không phải của dự án tại xã Hạ Long, huyện Vân Đồn vừa bị tỉnh thu hồi mà là của dự án Khu đô thị mới Ao Tiên nằm ngay sát cạnh.
Về dự án Khu đô thị mới Ao Tiên, tỉnh Quảng Ninh khẳng định, dự án này hoàn toàn không gây ảnh hưởng gì đến Vịnh Hạ Long. Khu vực dự án triển khai nguyên bản là bãi bồi, sình lầy hoang vu, không có rừng ngập mặn và giá trị kinh tế không cao thuộc Vịnh Bái Tử Long.
Còn theo Ban Quản lý Khu kinh tế Vân Đồn, quy hoạch khu vực Ao Tiên được UBND tỉnh phê duyệt phù hợp với quy hoạch chung xây dựng Khu kinh tế Vân Đồn được Thủ tướng Chính phủ phê duyệt.
Dự án Khu đô thị mới Ao Tiên đã được UBND tỉnh giao cho nhà đầu tư triển khai đầu tư xây dựng từ năm 2004. Đến nay, dự án cơ bản hoàn thành và đã được cấp giấy chứng nhận quyền sử dụng đất.
Tại khu đô thị này, UBND tỉnh Quảng Ninh đã xúc tiến, kêu gọi đầu tư được 2 công trình tổ hợp khách sạn, du lịch thương mại đạt tiêu chuẩn 5 sao theo đúng quy hoạch được duyệt, bao gồm: Tổ hợp du lịch, nghỉ dưỡng và giải trí Crystal Holidays Harbour Vân Đồn với diện tích 2,6 ha, với 5 tòa có chiều cao từ 28 đến 33 tầng, tổng vốn đầu tư 3.612 tỉ đồng; Tổ hợp khách sạn và căn hộ nghỉ dưỡng cao cấp Ao Tiên - Cát Linh Vân Đồn có diện tích 2,3 ha với 5 khối tháp có chiều cao từ 26 đến 34 tầng, tổng vốn đầu tư 3.910 tỉ đồng.
Hiện nay, theo tỉnh Quảng Ninh, 2 dự án trên đang được các nhà đầu tư tích cực triển khai thi công, hứa hẹn sớm đem lại cho Khu kinh tế Vân Đồn diện mạo mới mẻ, thu hút khách du lịch trong nước và quốc tế.
Cenland dự chi 760 tỷ đồng đầu tư vào dự án HUD MeLinh Central
CTCP Bất động sản Thế Kỷ (CenLand, Mã: CRE) vừa công bố nghị quyết về việc thông qua đầu tư các bất động sản thuộc dự án Khu đô thị mới Thanh Lâm - Đại Thịnh 2 từ CTCP Bất động sản Galaxy. Tổng giá trị đầu tư dự kiến 760 tỷ đồng cho 95 lô liền kề và biệt thự.
CenLand ủy quyền cho Tổng giám đốc là người đại diện pháp luật quyết định cách thức, thời gian thực hiện các giao dịch, bao gồm cả việc đặt cọc thực hiện giao dịch, đàm phán và quyết định tất cả các vấn đề liên quan đến danh sách Bất động sản đầu tư, việc mua, bán, chuyển nhượng, hình thức giao dịch các bất động sản với Galaxy Land, hoặc chủ đầu tư, hoặc bên thứ ba.

Khu đô thị mới Thanh Lâm - Đại Thịnh 2 do Tổng công ty Đầu tư Phát triển Nhà và Đô thị (HUD) làm chủ đầu tư với tên thương mại là HUD MeLinh Central. Dự án có tổng diện tích hơn 55 ha, gồm nhiều hạng mục như chung cư, biệt thự, nhà vườn, nhà ở xã hội, thấp tầng,…
Hồi tháng 5 vừa qua, HUD đã tổ chức bán đấu giá là 202 căn nhà thấp tầng xây thô hoàn thiện mặt ngoài hình thành trong tương lai gắn liền với quyền sử dụng đất ở đã có hạ tầng tại dự án trên. Trong đó, 56 căn biệt thự đơn lập; 26 căn biệt thự song lập; 120 căn nhà vườn.
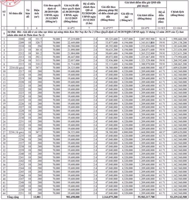
Kon Tum đấu giá 44 lô đất tại một dự án khu tái định cư
UBND tỉnh Kon Tum vừa phê duyệt giá khởi điểm đấu giá quyền sử dụng các lô đất (thửa đất) để giao đất có thu tiền sử dụng đất tại quỹ đất Dự án Đầu tư cơ sở hạ tầng Khu tái định cư các công trình trên địa bàn TP. Kon Tum kết hợp với mở rộng, phát triển khu dân cư (giai đoạn 1), xã Đăk Blà, TP. Kon Tum.
Theo đó, 44 lô đất (diện tích từ 280 - 531,7 m2) tại Dự án Đầu tư cơ sở hạ tầng Khu tái định cư các công trình trên địa bàn TP. Kon Tum kết hợp với mở rộng, phát triển khu dân cư (giai đoạn 1) có giá khởi điểm thấp nhất là 1.209.600.000 đồng và cao nhất là 2.087.985.900 đồng (chưa tính hệ số điều chỉnh).
UBND tỉnh Kon Tum giao Sở Tài chính, UBND TP. Kon Tum và các đơn vị có liên quan chịu trách nhiệm toàn diện trước pháp luật và UBND tỉnh về nội dung trình, thẩm định, tính đầy đủ, chính xác, hợp lệ, thống nhất của hồ sơ, số liệu, tài liệu và tính đúng đắn, chính xác phương pháp tính toán xác định giá khởi điểm để đấu giá đất trình phê duyệt.
Trong quá trình tổ chức thực hiện Sở Tài chính chủ trì, phối hợp UBND TP. Kon Tum và các đơn vị có liên quan hướng dẫn, kiểm tra, rà soát giá khởi điểm đã phê duyệt đối chiếu với thực tế triển khai, kịp thời phát hiện những sai sót, đề xuất UBND tỉnh điều chỉnh, bổ sung phù hợp.
UBND TP. Kon Tum có trách nhiệm tổ chức thực hiện đấu giá đấu giá quyền sử dụng đất Dự án Đầu tư cơ sở hạ tầng Khu tái định cư các công trình trên địa bàn thành phố Kon Tum kết hợp với mở rộng, phát triển khu dân cư (giai đoạn 1) theo đúng quy định pháp luật; chịu trách nhiệm về tính hiệu quả đất đai, công khai minh bạch, cạnh tranh bình đẳng, không làm thất thoát ngân sách, lãng phí tài nguyên đất đai.
Chủ dự án Tecco Diamond Thanh Trì bị phạt 90 triệu đồng
UBND huyện Thanh Trì cho biết, huyện vừa có quyết định xử phạt vi phạm hành chính đối với Công ty CP Tổng công ty Tecco Hà Nội – chủ đầu tư dự án Khu dịch vụ thương mại và chung cư Tecco Diamond (tên thương mại là Tecco Diamond) tại Lô CT - Khu đất đấu giá Tứ Hiệp (xã Tứ Hiệp, huyện Thanh Trì) do đưa công trình đưa vào sử dụng khi chưa được cơ quan có thẩm quyền nghiệm thu theo quy định
Theo đó, chủ đầu tư dự án chung cư Tecco Diamond Thanh Trì bị phạt 90 triệu đồng với hành vi trên.
Cũng theo UBND huyện Thanh Trì, huyện cũng yêu cầu chủ đầu tư dừng việc bàn giao nhà cho người dân về ở đến khi dự án được nghiệm thu công trình đưa vào sử dụng theo quy định. Đồng thời, khuyến cáo người dân không dọn vào ở trong dự án do tiềm ẩn nhiều rủi ro, nguy cơ mất an toàn.
Trước đó, nhiều người dân phản ánh về việc, dự án đến nay chưa được cơ quan có thẩm quyền nghiệm thu chất lượng công trình đủ điều kiện đưa vào sử dụng nhưng Công ty CP Tổng công ty Tecco Hà Nội đã gửi thông báo bàn giao cho khách hàng nhận nhà, bỏ qua các quy định về đảm bảo an toàn, coi thường tính mạng người dân.
Điều đáng nói, sau khi nhiều khách hàng thanh toán đủ số tiền theo tiến độ để về ở theo cam kết của chủ đầu tư nhưng đến nay dự án vẫn chưa đủ điều kiện để bàn giao cho khách hàng theo quy định.
Được biết đến nay, dự án Tecco diamond Thanh Trì chưa được Cục Giám định Nhà nước về công trình xây dựng (Bộ Xây dựng) nghiệm thu, cho phép đưa công trình vào sử dụng.
Dự án Khu dịch vụ thương mại và chung cư Tecco Diamond có diện tích 7.525m2, bao gồm 3 tòa nhà cao 25 tầng, 2 tầng hầm, với khoảng 665 căn hộ và 20 shophouse. Tổng mức đầu tư dự án hơn 973 tỷ đồng.
Theo quyết định chủ trương đầu tư được UBND TP Hà Nội chấp thuận tháng 6/2020, dự án sẽ đưa vào khai thác sử dụng từ quý I/2022. Thời gian hoạt động của dự án không quá 50 năm kể từ ngày 15/10/2019 (ngày phê duyệt kết quả trúng đấu giá).
Tạm dừng điều chỉnh quy hoạch hơn 1.560 ha tại khu du lịch Bãi Dài
Sở Xây dựng tỉnh Khánh Hòa cho biết vừa có văn bản gửi UBND tỉnh liên quan đến đồ án quy hoạch phân khu (tỷ lệ 1/2000) khu 5, 6, 7 và một phần khu 3 thuộc khu du lịch bắc bán đảo Cam Ranh (huyện Cam Lâm).
Theo Sở Xây dựng Khánh Hòa, đồ án điều chỉnh quy hoạch chung khu du lịch bán đảo Cam Ranh - phía tây đường Nguyễn Tất Thành, được UBND tỉnh này phê duyệt từ tháng 12/2020. Tuy nhiên, thời điểm này Nghị quyết 09 của Bộ Chính trị về xây dựng, phát triển tỉnh Khánh Hòa đến năm 2030, tầm nhìn đến năm 2045 chưa ban hành.
Ngoài ra, hồi tháng 3, Chính phủ đã ban hành Nghị quyết 42 về chương trình hành động của Chính phủ thực hiện Nghị quyết số 09. Trong đó xác định sẽ lập mới, điều chỉnh quy hoạch xây dựng, quy hoạch đô thị phù hợp với Nghị quyết số 09 nhằm điều chỉnh không gian đô thị hợp lý, gắn với phát huy tiềm năng, thế mạnh của từng vùng, miền, địa phương mà huyện Cam Lâm trở thành đô thị sân bay hiện đại, sinh thái, đẳng cấp quốc tế.
Liên quan đến lập quy hoạch khu đô thị mới Cam Lâm, Sở Xây dựng Khánh Hòa cho biết đơn vị được giao chủ trì thực hiện và yêu cầu bám sát định hướng Nghị quyết 09 và Nghị quyết 42.
Cũng theo Sở Xây dựng Khánh Hòa, đồ án quy hoạch chung đô thị mới Cam Lâm khi được phê duyệt sẽ thay thế toàn bộ nội dung thuộc địa giới hành chính huyện Cam Lâm (trừ phần diện tích khu 7 thuộc thành phố Cam Ranh) tại đồ án điều chỉnh quy hoạch chung khu du lịch bắc bán đảo Cam Ranh năm 2020.
Từ đó, Sở Xây dựng kiến nghị UBND tỉnh Khánh Hòa thống nhất chủ trương tạm dừng triển khai các đồ án quy hoạch phân khu (tỷ lệ 1/2000) khu 5, 6, 7 và một phần khu 3 (thuộc khu du lịch bắc bán đảo Cam Ranh). Và, việc tiếp tục triển khai hoặc chấm dứt các đồ án quy hoạch phân khu sẽ được xem xét sau khi đồ án quy hoạch chung đô thị mới Cam Lâm được Thủ tướng phê duyệt.
Khu Liên hợp Thể thao Quốc gia Mỹ Đình nợ gần 900 tỷ đồng tiền thuế
Khu liên hợp thể thao quốc gia Mỹ Đình (KLHTTQG) tiếp tục nhận được công văn của Chi cục thuế quận Nam Từ Liêm (Hà Nội) thông báo số tiền nợ thuế của đơn vị này.
Cụ thể, căn cứ dữ liệu tại cơ quan thuế, KLHTTQG chưa nộp đủ số tiền thuế nợ, với tổng số tiền thuế nợ chưa nộp ngân sách nhà nước tính đến ngày 31/7/2022 là hơn 855 tỷ đồng.
Khoản tiền này bao gồm tiền thuế và các khoản thu khác tính đến ngày 31/7/2022 là gần 480 tỷ đồng; Số tiền chậm nộp là gần 376 tỷ đồng. Trong đó, số tiền thuế nợ phát sinh trong tháng 7/2022 là gần 11,7 tỷ đồng. Số tiền quá hạn nộp phải thực hiện cưỡng chế nợ thuế là hơn 839 tỷ đồng.
Do đó, cơ quan thuế đề nghị KLHTTQG nộp ngay số tiền thuế nợ vào ngân sách nhà nước.
Thêm 11 dự án nhà ở xã hội, nhà ở công nhân đủ điều kiện vay gói hỗ trợ lãi suất 2%
Bộ Xây dựng vừa có công văn 3311/BXD-QLN gửi Ngân hàng Nhà nước về việc tổng hợp danh mục dự án nhà ở xã hội, nhà ở cho công nhân, cải tạo chung cư cũ (đợt 2) đủ điều kiện vay gói hỗ trợ lãi suất 2% theo quy định tại Nghị định số 31/2022/NĐ-CP.
Bộ Xây dựng cho biết, 11 dự án được xét duyệt vay vốn ưu đãi đợt 2 là những dự án thuộc địa bàn Tp.HCM và tỉnh Bình Định, với quy mô 7.904 căn hộ, tổng mức đầu tư 9.646 tỷ đồng, nhu cầu vay vốn theo đề xuất của các địa phương khoảng 4.345 tỷ đồng.
Cụ thể, trong danh sách, có 7 dự án nhà ở xã hội, nhà ở dành cho công nhân đủ điều kiện vay vốn hỗ trợ lãi suất 2% gồm: Dự án nhà ở xã hội thuộc dự án Khu nhà ở phường Long Trường, TP Thủ Đức; Dự án nhà ở xã hội Lý Thường Kiệt tại số 324 Lý Thường Kiệt, phường 14, quận 10; Dự án nhà ở xã hội phục vụ cho công nhân thuê tại Cụm công nghiệp quận 2, phường Thạnh Mỹ Lợi, TP Thủ Đức; Dự án nhà ở xã hội Tân Đại Minh, phường Quang Trung, TP Quy Nhơn; Dự án nhà ở xã hội Ecohome Nhơn Bình, phường Nhơn Bình, TP Quy Nhơn; Dự án Khu chung cư nhà ở xã hội An Phú Thịnh, Khu đô thị mới An Phú Thịnh, TP Quy Nhơn; Dự án Khu chung cư nhà ở xã hội tại Khu đô thị Bắc sông Hà Thanh, phường Nhơn Bình, TP Quy Nhơn.
Bên cạnh đó, có 4 dự án cải tạo chung cư cũ đủ điều kiện vay vốn hỗ trợ lãi suất 2% gồm: Dự án chung cư mới thay thế chung cư cũ tại số 23 Lý Tự Trọng, phường Bến Nghé, quận 1 (từ 81 căn hộ được xây dựng mới lên thành 160 căn hộ, tổng mức đầu tư 696 tỷ đồng, nhu cầu vay vốn theo đề xuất của UBND Tp.HCM là 557 tỷ đồng); Dự án xây dựng mới chung cư cũ tại số 128 Hai Bà Trưng, phường Đa Cao, quận 1 (từ 97 căn hộ được xây dựng mới lên thành 146 căn hộ, tổng mức đầu tư 700,4 tỷ đồng, nhu cầu vay vốn theo đề xuất của UBND Tp.HCM là 500 tỷ đồng); Dự án xây dựng mới chung cư cũ tại số 350 đường Hoàng Văn Thụ, phường 4, quận Tân Bình (từ 157 căn hộ được xây dựng mới lên thành 500 căn hộ, tổng mức đầu tư 830 tỷ đồng, nhu cầu vay vốn theo đề xuất của UBND Tp.HCM là 610 tỷ đồng).