Hà Nội đẩy mạnh đấu giá đất tại khu vực vùng ven

Các huyện như Chương Mỹ, Ba Vì, Phú Xuyên, Thanh Oai,.. sẽ đẩy mạnh các cuộc đấu giá đất trong thời gian tới.

Cụ thể, Công ty Đấu giá hợp danh Lạc Việt vừa ra thông báo đấu giá tài sản của UBND huyện Thanh Oai .

Cụ thể là quyền sử dụng đất để thực hiện dự án nhà ở thấp tầng khu Mộc Dưới, thôn Châu Mai, xã Liên Châu, huyện Thanh Oai, TP Hà Nội.

Tổng diện tích khu đất là 32.769 m2, trong đó có 14.300 m2 đất ở tại ô quy hoạch ký hiệu LK01 - LK12 chức năng sử dụng đất ở liền kề; 4.197 m2 đất phát triển nhà ở xã hội (để thực hiện theo dự án riêng); 14.270 m2 đất công trình công cộng, đất hạ tầng giao thông, hạ tầng kỹ thuật và đất cây xanh.

Giá khởi điểm là 31,64 triệu đồng/m2; Cuộc đấu giá được tổ chức lúc 8h ngày 7/6 tại trụ sở UBND huyện Thanh Oai.

Ngoài ra, Công ty Đấu giá Hợp danh Nhất An Phú cũng vừa ra thông báo đấu giá tài sản của UBND huyện Phú Xuyên .

Cụ thể là quyền sử dụng đất đối với 13 thửa đất tại khu Thùng Lò Gạch, thôn Bái Đô, xã Tri Thủy, huyện Phú Xuyên, TP Hà Nội. Các thửa đất có diện tích từ 137 đến 176 m²/thửa với mức giá khởi điểm từ 14 đến 15 triệu đồng/m2. Mục đích sử dụng các thửa đất là đất ở nông thôn với thời hạn sử dụng lâu dài.

Thời gian, địa điểm tổ chức cuộc đấu giá lúc 8h ngày 27/6 tại Nhà Văn hóa trung tâm huyện Phú Xuyên, địa chỉ Tiểu khu Thao Chính, thị trấn Phú Xuyên, huyện Phú Xuyên.

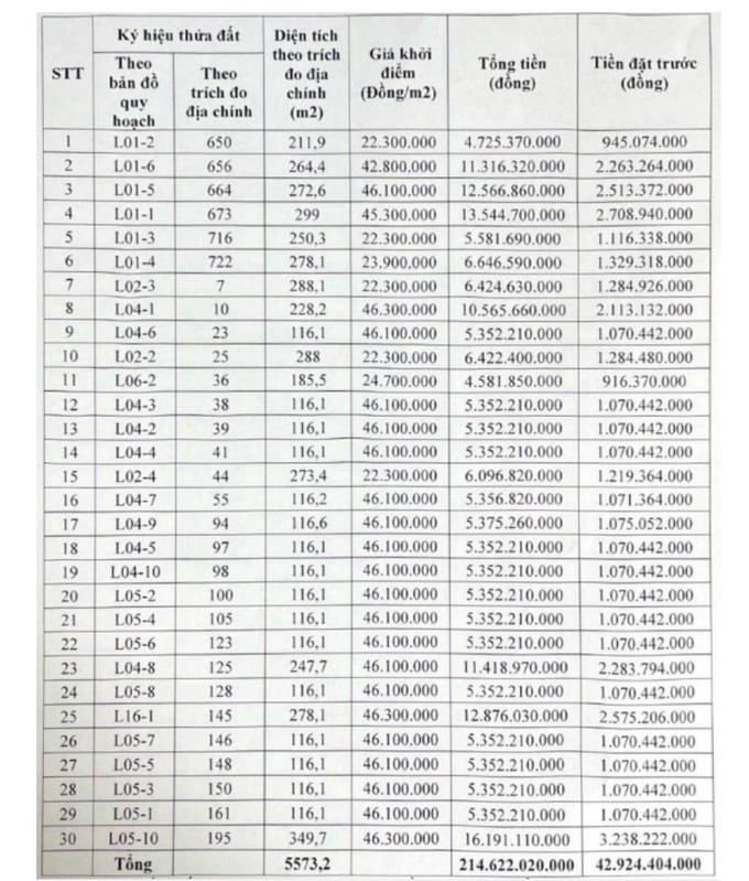
Công ty Đấu giá Hợp danh Trường Sơn vừa ra thông báo đấu giá tài sản của UBND huyện Ba Vì.

Cụ thể là quyền sử dụng đất ở đối với 30 thửa đất của khu đất thuộc dự án Xây dựng hạ tầng kỹ thuật khu đất đấu giá quyền sử dụng đất tại khu Châu Hùm, thôn Đồng Bảng, xã Đồng Thái, huyện Ba Vì, TP Hà Nội.

Các thửa đất có diện tích từ 116,1 m2 đến 349,7 m2 với giá khởi điểm từ 22,3 triệu đến 46,3 triệu đồng/m2, mục đích sử dụng làm đất ở nông thôn với thời hạn sử dụng lâu dài.

Thông tin 30 thửa đất mang ra đấu giá tại huyện Ba vì. (Ảnh chụp màn hình).  
Thông tin 30 thửa đất mang ra đấu giá tại huyện Ba vì. (Ảnh chụp màn hình).  

Cuộc đấu giá được tổ chức vào 9h ngày 20/6 tại hội trường UBND xã Đồng Thái, huyện Ba Vì, TP Hà Nội.

Bên cạnh đó, tại huyện Chương Mỹ, Công ty Đấu giá Hợp danh Nhất An Phú cũng đã ra thông báo đấu giá tài sản của UBND huyện này.

Cụ thể là quyền sử dụng đất ở đối với 4 thửa đất trên địa bàn thị trấn Chúc Sơn và xã Hữu Văn huyện Chương Mỹ, TP Hà Nội. Các thửa đất có diện tích từ 104 đến 198 m2/thửa với mức giá khởi điểm từ 19,4 đến 31 triệu đồng/m2.

Thời gian, địa điểm tổ chức cuộc đấu giá lúc 8h ngày 8/6 tại Hội trường UBND huyện Chương Mỹ.

Minh Đức (T/H)