Giữa thời 'ngáo' giá, thành phố lớn thứ 4 Việt Nam cho thuê chung cư chỉ với giá nhỉnh 36.000/m2

Sở Xây dựng thành phố này vừa có thông báo về việc tiếp nhận hồ sơ đăng ký thuê căn hộ tại dự án chung cư nhà ở xã hội khu đô thị xanh Bàu Tràm Lakeside

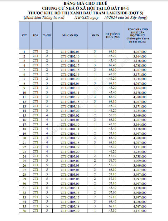
Sở Xây dựng TP. Đà Nẵng vừa có thông báo Số 2731/TB-SXD về việc tiếp nhận hồ sơ đăng ký thuê căn hộ tại dự án chung cư nhà ở xã hội khu đô thị xanh Bàu Tràm Lakeside (phường Hòa Hiệp Nam, quận Liên Chiểu).

Có 267 căn hộ nhà ở xã hội tại lô đất B4-1. Mỗi căn hộ có diện tích 45-70m2. Giá thuê được công bố là 70.000 đồng/m2/tháng (đã bao gồm thuế giá trị gia tăng 5%).

Theo danh sách đính kèm, căn hộ có giá thuê thấp nhất là hơn 2,58 triệu đồng/tháng, cao nhất hơn 4,7 triệu đồng/tháng. Thời gian tiếp nhận hồ sơ từ ngày 24/4-23/5.

Danh sách cho thuê của Sở Xây dựng TP. Đà Nẵng.
Danh sách cho thuê của Sở Xây dựng TP. Đà Nẵng.

Những đối tượng được đăng ký thuê nhà ở xã hội sẽ theo quy định tại khoản 1, 4, 5, 6, 7, 8, 10, điều 49 Luật nhà ở. Điều kiện được đăng ký thuê nhà ở xã hội theo quy định tại Luật nhà ở và chính sách của Đà Nẵng.

Sở Xây dựng TP. Đà Nẵng cho biết trường hợp tổng số hồ sơ đăng ký bằng hoặc ít hơn tổng số căn hộ do chủ đầu tư công bố thì việc lựa chọn căn hộ thực hiện theo hình thức thỏa thuận giữa chủ đầu tư và khách hàng.

Trường hợp tổng số hồ sơ đăng ký nhiều hơn tổng số căn hộ công bố thì việc xét duyệt, lựa chọn thực hiện theo hình thức bốc thăm.

Riêng trường hợp đảm bảo quy định là người có công với cách mạng hoặc người khuyết tật thì được ưu tiên thuê nhà ở xã hội mà không phải bốc thăm với tỷ lệ nhất định.

Chung cư nhà ở xã hội tại lô đất B4-1 thuộc dự án trên có quy mô 4 khối nhà với tổng cộng 1.549 căn hộ (trong đó có 285 căn hộ với diện tích sàn 13.229m2). Đã hoàn thành bàn giao đưa vào sử dụng từ quý 2/2023.

Ngoài ra, Sở xây dựng TP. Đà Nẵng cũng thông báo mở bán 170 căn hộ thuộc tòa CT05, CT06, CT08 và CT09 tại lô đất B4-2 được phép mở bán với giá hơn 16 triệu đồng/m2.

Thời gian tiếp nhận hồ sơ đăng ký thuê và mua nhà ở xã hội theo các thông báo là từ ngày 24/4 đến 23/5.

Ngọc Trà