Tin bất động sản hôm nay ngày 15/8: Cenland dự chi 760 tỷ đồng đầu tư vào dự án HUD MeLinh Central
Cenland dự chi 760 tỷ đồng đầu tư vào dự án HUD MeLinh Central; Thái Bình đấu thầu dự án nhà ở gần 2.300 tỷ đồng từng được nhóm Geleximco và liên danh Hateco đăng ký đầu tư; Chấm dứt 11 dự án nhà ở, khu đô thị, dịch vụ thương mại tại Vĩnh Phúc;… là những thông tin đáng chú ý hôm nay ngày 15/8.
Cenland dự chi 760 tỷ đồng đầu tư vào dự án HUD MeLinh Central
CTCP Bất động sản Thế Kỷ (CenLand, Mã: CRE) vừa công bố nghị quyết về việc thông qua đầu tư các bất động sản thuộc dự án Khu đô thị mới Thanh Lâm - Đại Thịnh 2 từ CTCP Bất động sản Galaxy. Tổng giá trị đầu tư dự kiến 760 tỷ đồng cho 95 lô liền kề và biệt thự.
CenLand ủy quyền cho Tổng giám đốc là người đại diện pháp luật quyết định cách thức, thời gian thực hiện các giao dịch, bao gồm cả việc đặt cọc thực hiện giao dịch, đàm phán và quyết định tất cả các vấn đề liên quan đến danh sách Bất động sản đầu tư, việc mua, bán, chuyển nhượng, hình thức giao dịch các bất động sản với Galaxy Land, hoặc chủ đầu tư, hoặc bên thứ ba.

Hồi tháng 5 vừa qua, HUD đã tổ chức bán đấu giá là 202 căn nhà thấp tầng xây thô hoàn thiện mặt ngoài hình thành trong tương lai gắn liền với quyền sử dụng đất ở đã có hạ tầng tại dự án trên. Trong đó, 56 căn biệt thự đơn lập; 26 căn biệt thự song lập; 120 căn nhà vườn.
Thái Bình đấu thầu dự án nhà ở gần 2.300 tỷ đồng từng được nhóm Geleximco và liên danh Hateco đăng ký đầu tư
UBND tỉnh Thái Bình vừa phê duyệt kế hoạch lựa chọn nhà đầu tư thực hiện dự án Phát triển nhà ở thương mại Khu dân cư phía Đông đường Võ Nguyên Giáp, phường Hoàng Diệu, TP Thái Bình.
Theo đó, thời gian bắt đầu tổ chức lựa chọn nhà đầu tư là vào quý III năm nay, hình thức đấu thầu rộng rãi trong nước, phương thức một giai đoạn, hai túi hồ sơ.
Thời gian thực hiện hợp đồng là 78 tháng kể từ ngày giao đất thực địa.
Tỉnh Thái Bình giao Sở Xây dựng (bên mời thầu) chịu trách nhiệ lập hồ sơ mời thầu và lựa chọn nhà đầu tư đủ năng lực thực hiện triển khai dự án.

Dự án Phát triển nhà ở thương mại Khu dân cư phía Đông đường Võ Nguyên Giáp có quy mô hơn 30,6 ha, có vị trí tại phường Hoàng Diệu, TP Thái Bình. Phía bắc giáp các ô đất ký hiệu HH-03, HH-04, HH-05, Quy hoạch phân khu Khu đô thị Hoàng Diệu, TP Thái Bình; phía đông giáp đê tả sông Trà Lý; phía nam giáp đất nông nghiệp; phía tây giáp đường Võ Nguyên Giáp. Tổng chi phí thực hiện dự kiến là 2.259 tỷ đồng.
Đáng chú ý, thời điểm tháng 7/2021, Sở Kế hoạch và Đầu tư tỉnh Thái Bình ra thông báo mời tham gia thực hiện dự án. Theo đó, có CTCP Glexhomes và Liên danh CTCP Tập đoàn Hateco - CTCP CID HOLDINGS là hai nhà đầu tư cùng đăng ký thực hiện dự án này. Glexhomes được thành lập năm 2009 bởi cổ đông sáng lập là Tập đoàn Geleximco.
Thời điểm đó, tỉnh Thái Bình yêu cầu vốn chủ sở hữu nhà đầu tư phải thu xếp là gần 339 tỷ đồng. Trường hợp liên danh, vốn chủ sở hữu nhà đầu tư liên danh bằng tổng vốn chủ sở hữu của các thành viên liên danh. Nhà đầu tư đứng đầu liên danh phải có tỷ lệ sở hữu vốn tối thiểu là 30%, từng thành viên liên danh có tỷ lệ sở hữu vốn tối thiểu là 15% trong liên danh.
Vĩnh Phúc: Chấm dứt 11 dự án nhà ở, khu đô thị, dịch vụ thương mại
Thực hiện nhiệm vụ UBND tỉnh giao, Sở Kế hoạch và Đầu tư Vĩnh Phúc đã rà soát và công bố, công khai 11 dự án khu đô thị, khu nhà ở và dự án công trình dịch vụ thương mại trên địa bàn tỉnh đã thực hiện chấm dứt hoạt động (đợt 1).
Trong đó có 4 dự án khu nhà ở, khu đô thị gồm: Dự án Khu đô thị Núi Bầu – Khu vực 2, phường Liên Bảo, thành phố Vĩnh Yên do Công ty TNHH xây dựng và dịch vụ Xuân Tiến Hòa Bình làm chủ đầu tư. Dự án này thuộc trường hợp hết hạn đầu tư, không có khả năng triển khai thực hiện (đã được UBND tỉnh chấm dứt và thu hồi hiệu lực pháp lý tại Quyết định số 394, ngày 28/2/2022).
Dự án Khu nhà ở Hoàng Vương, ở phường Liên Bảo, thành phố Vĩnh Yên do Công ty Cổ phần đầu tư số 1 làm chủ đầu tư chậm triển khai (đã được UBND tỉnh Vĩnh Phúc thu hồi và chấm dứt hiệu lực pháp lý tại Quyết định số 1941, ngày 30/3/2022). 2 dự án ở thị trấn Bá Hiến, huyện Bình Xuyên nhà đầu tư chấm dứt hoạt động là dự án Khu nhà ở xã hội tại thị trấn Bá Hiến do Công ty Cổ phần đầu tư và phát triển Vĩnh Yên làm chủ đầu tư và Dự án Khu nhà ở xã hội phục vụ công nhân và người lao động của Công ty TNHH in điện tử Minh Đức do Công ty TNHH in điện tử Minh Đức làm chủ đầu tư.
7 dự án dịch vụ thương mại và sản xuất kinh doanh do nhà đầu tư chấm dứt hoạt động gồm: Dự án Khu thương mại dịch vụ tổng hợp Vĩnh Phúc, thuộc xã Hợp Thịnh, huyện Tam Dương do Công ty Cổ phần dịch vụ kho vận Vĩnh Phúc làm chủ đầu tư; Dự án Nhà máy sản xuất bao bì cao cấp thuộc xã Hợp Thịnh, huyện Tam Dương, do Công ty Cổ phần thảo mộc Nhiệt Đới (tên gọi cũ là Công ty Cổ phần bao bì châu Âu) làm chủ đầu tư; Dự án Xây dựng nhà máy rượu Việt Nam thuộc phường Hùng Vương, thành phố Phúc Yên, do Công ty TNHH Hải Phú Ngọc làm chủ đầu tư.
Dự án Đầu tư xây dựng Trung tâm Đào tạo nghề lái xe ôtô ở xã Kim Long, huyện Tam Dương do Công ty Cổ phần Đầu tư Hòa Bình làm chủ đầu tư; Dự án Nhà máy xử lý đồ gỗ xuất khẩu ở xã Hợp Thịnh, huyện Tam Dương, do Công ty TNHH xây dựng và xuất nhập khẩu Sơn Tùng là chủ đầu tư; Dự án Đầu tư xây dựng kinh doanh khách sạn và nhà hàng ăn uống ở phường Khai Quang, thành phố Vĩnh Yên do Công ty Cổ phần Huy Hằng làm chủ đầu tư và Dự án Cơ sở kinh doanh vật liệu xây dựng và kinh doanh vận tải hàng hoá, hành khách đường bộ ở xã Định Trung, thành phố Vĩnh Yên do Công ty TNHH Việt Linh làm chủ đầu tư.
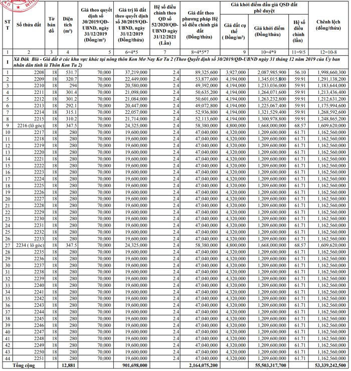
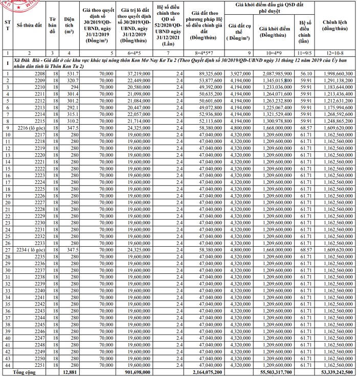
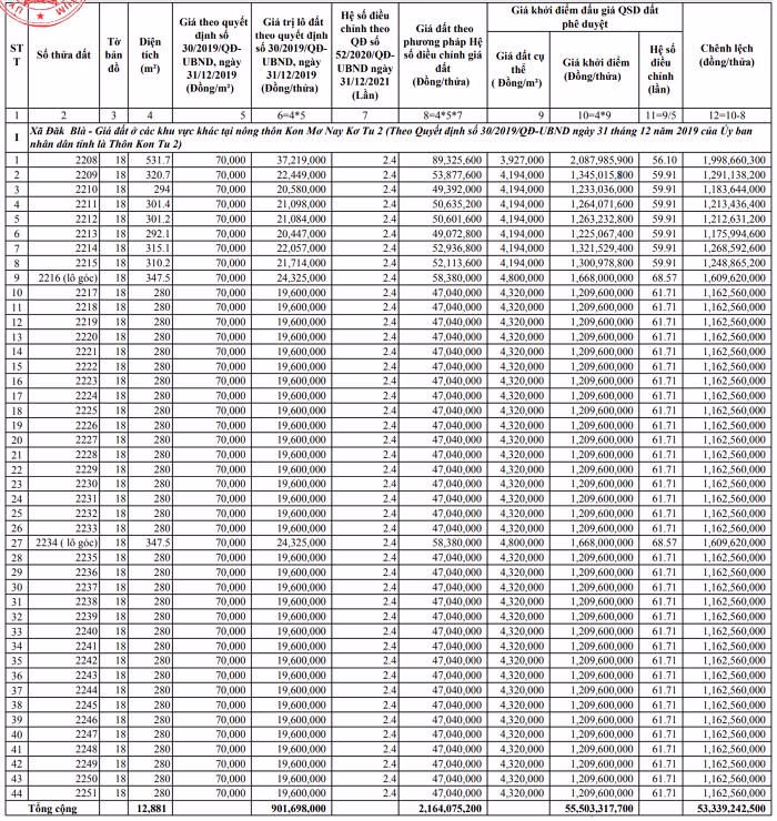
Kon Tum đấu giá 44 lô đất tại một dự án khu tái định cư
UBND tỉnh Kon Tum vừa phê duyệt giá khởi điểm đấu giá quyền sử dụng các lô đất (thửa đất) để giao đất có thu tiền sử dụng đất tại quỹ đất Dự án Đầu tư cơ sở hạ tầng Khu tái định cư các công trình trên địa bàn TP. Kon Tum kết hợp với mở rộng, phát triển khu dân cư (giai đoạn 1), xã Đăk Blà, TP. Kon Tum.
Theo đó, 44 lô đất (diện tích từ 280 - 531,7 m2) tại Dự án Đầu tư cơ sở hạ tầng Khu tái định cư các công trình trên địa bàn TP. Kon Tum kết hợp với mở rộng, phát triển khu dân cư (giai đoạn 1) có giá khởi điểm thấp nhất là 1.209.600.000 đồng và cao nhất là 2.087.985.900 đồng (chưa tính hệ số điều chỉnh).

UBND tỉnh Kon Tum giao Sở Tài chính, UBND TP. Kon Tum và các đơn vị có liên quan chịu trách nhiệm toàn diện trước pháp luật và UBND tỉnh về nội dung trình, thẩm định, tính đầy đủ, chính xác, hợp lệ, thống nhất của hồ sơ, số liệu, tài liệu và tính đúng đắn, chính xác phương pháp tính toán xác định giá khởi điểm để đấu giá đất trình phê duyệt.
Trong quá trình tổ chức thực hiện Sở Tài chính chủ trì, phối hợp UBND TP. Kon Tum và các đơn vị có liên quan hướng dẫn, kiểm tra, rà soát giá khởi điểm đã phê duyệt đối chiếu với thực tế triển khai, kịp thời phát hiện những sai sót, đề xuất UBND tỉnh điều chỉnh, bổ sung phù hợp.
UBND TP. Kon Tum có trách nhiệm tổ chức thực hiện đấu giá đấu giá quyền sử dụng đất Dự án Đầu tư cơ sở hạ tầng Khu tái định cư các công trình trên địa bàn thành phố Kon Tum kết hợp với mở rộng, phát triển khu dân cư (giai đoạn 1) theo đúng quy định pháp luật; chịu trách nhiệm về tính hiệu quả đất đai, công khai minh bạch, cạnh tranh bình đẳng, không làm thất thoát ngân sách, lãng phí tài nguyên đất đai.