Thép Thống Nhất: Lợi nhuận giảm 91%, lỗ lũy kế vượt 109 tỷ đồng
Mặc dù các khoản chi phí đều được tiết giảm so với cùng kỳ, mức sụt giảm doanh thu quá lớn khiến kết quả chung của Thép Thống Nhất khá ảm đạm. Lợi nhuận sau thuế quý 3/2025 chỉ đạt 985,3 triệu đồng, tương đương mức giảm 91% so với cùng kỳ năm 2024 mức thấp nhất trong nhiều quý gần đây.
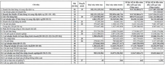
Công ty Cổ phần Thép tấm lá Thống Nhất (Thép Thống Nhất, UPCoM: TNS) vừa công bố báo cáo tài chính quý 3/2025 với doanh thu thuần đạt 182,2 tỷ đồng, giảm 69% so với cùng kỳ năm trước. Đây là quý thứ ba liên tiếp doanh nghiệp ghi nhận kết quả kinh doanh đi xuống.
Sau khi khấu trừ giá vốn hàng bán, lợi nhuận gộp của Thép Thống Nhất chỉ còn chưa đầy 5 tỷ đồng, giảm mạnh hơn 76%, phản ánh biên lợi nhuận bị thu hẹp đáng kể do sức tiêu thụ yếu và chi phí đầu vào chưa có dấu hiệu hạ nhiệt.

Mặc dù các khoản chi phí tài chính, chi phí bán hàng và chi phí quản lý doanh nghiệp đều được tiết giảm so với cùng kỳ, mức sụt giảm doanh thu quá lớn khiến kết quả chung của Thép Thống Nhất khá ảm đạm. Lợi nhuận sau thuế quý 3/2025 chỉ đạt 985,3 triệu đồng, tương đương mức giảm 91% so với cùng kỳ năm 2024 mức thấp nhất trong nhiều quý gần đây.
Tính chung 9 tháng đầu năm 2025, doanh thu thuần của Thép Thống Nhất đạt gần 920 tỷ đồng, giảm 60% so với cùng kỳ năm ngoái. Lợi nhuận sau thuế đạt xấp xỉ 13 tỷ đồng, cũng giảm phân nửa so với cùng kỳ.
Báo cáo tài chính tại ngày 30/9/2025 cho thấy tổng tài sản của doanh nghiệp chỉ còn hơn 288 tỷ đồng, giảm hơn 160 tỷ đồng so với đầu năm. Nợ phải trả ở mức 161 tỷ đồng, trong đó nợ vay tài chính dài hạn chiếm gần 35 tỷ đồng.
Đáng chú ý, khoản lỗ lũy kế của công ty đã vượt 109 tỷ đồng, phản ánh giai đoạn hoạt động nhiều khó khăn kéo dài của doanh nghiệp thép này.
Năm nay, Thép Thống Nhất thông qua kế hoạch sản xuất và gia công 190.000 tấn thép, sụt gần 28% so với năm 2024. Theo đó, họ đặt mục tiêu lãi sau thuế 20 tỷ đồng, chỉ tương đương hơn 40% so với cùng kỳ. Sau 9 tháng, công ty mới hoàn thành 64% kế hoạch.
Tình hình tài chính sa sút cũng ảnh hưởng rõ rệt lên thị trường chứng khoán. Cổ phiếu TNS hiện nằm trong diện bị hạn chế giao dịch, chỉ được phép khớp lệnh vào ngày thứ Sáu hằng tuần. Kết thúc phiên giao dịch gần nhất, thị giá TNS dừng ở mức 3.800 đồng/cổ phiếu, phản ánh tâm lý thận trọng của nhà đầu tư trước triển vọng ngắn hạn của doanh nghiệp.
Theo tìm hiểu, Công ty Cổ phần Thép tấm lá Thống Nhất được thành lập vào năm 2007, có trụ sở chính tại Khu công nghiệp Phú Mỹ I, phường Phú Mỹ, Tp.HCM. Doanh nghiệp này hoạt động chính trong lĩnh vực sản xuất thép tấm lá cán nguội và các sản phẩm sau cán cả nội địa và xuất khẩu.