Nợ nhóm 5 hơn 16.000 tỷ đồng, 'ông lớn' BIDV đang ráo riết rao bán loạt tài sản đảm bảo
Chưa đầy 2 tháng đầu năm 2021, các chi nhánh của BIDV đã ráo riết thông báo về việc thẩm định giá, lựa chọn tổ chức và rao bán hàng loạt tài sản đảm bảo. Thậm chí, có nhiều khoản nợ rao bán nhiều lần kèm hạ giá nhưng vẫn ế.
Ngân hàng TMCP Đầu tư và Phát triển Việt Nam (BIDV, HoSE: BID) là 1 trong 4 ngân hàng thương mại có vốn nhà nước quy mô lớn trong hệ thống ngân hàng Việt Nam. Song BIDV cũng sở hữu một khối nợ xấu lớn nhất nhì hệ thống ngân hàng trong năm 2020.
Cụ thể, đến cuối năm 2020, tổng số dư nợ xấu nội bảng của BIDV là gần 21.342 tỷ đồng, tăng thêm gần 1.850 tỷ. Trong đó, nợ có khả năng mất vốn tại BIDV (nợ nhóm 5) tăng 46% so với cuối năm 2019, lên mức hơn 16.525 tỷ đồng - thời điểm hiện tại BIDV là ngân hàng có nhiều nợ nhóm 5 nhất.

Chính vì nợ xấu ngày “phình to” nên trong 2 tháng đầu năm 2021, các chi nhánh của BIDV đã ráo riết phát đi khoảng 40 thông báo về việc thẩm định giá, lựa chọn tổ chức và rao bán hàng loạt tài sản đảm bảo là các khoản nợ từ hàng chục đến hàng trăm tỷ đồng gồm bất động sản, nhà máy, ô tô,… Thậm chí, có nhiều tài sản đảm bảo rao bán nhiều lần nhưng không ai mua.
Loạt khoản nợ rao bán nhiều lần kèm đại hạ giá nhưng vẫn ế
Mới đây nhất, ngày 22/2, BIDV Chi nhánh Nam Hà Nội thông báo bán đấu giá khoản nợ nghìn tỷ lần thứ 6 của Cty TNHH Ngọc Linh bao gồm toàn bộ dư nợ gốc và dư nợ lãi phát sinh đến thời điểm thực hiện giao dịch mua bán nợ, tổng dư nợ của khoản nợ tính đến ngày 28/12/2020 là hơn 2.404 tỷ đồng.
BIDV rao bán khoản nợ với giá khởi điểm gần 1.420 tỷ đồng. So với lần rao bán đầu tiên vào ngày 30/12/2020 thì giá đã giảm hơn 984 tỷ đồng.

+ Nhà máy điện phân chì kẽm Bắc Kạn tại huyện Chợ Đồn, tỉnh Bắc Kạn
+ Các công trình dự án (tất cả các hạng mục công trình liên quan đến hoặc thuộc về Dự án Nhà máy điện phân chì Kẽm Bắc Kạn, bao gồm không giới hạn bởi Nhà máy, các tài sản khác gắn liền trên đất và các hạng mục công trình khác của Dự án), cùng với các tòa nhà, công trình xây dựng, các bất động sản khác gắn liền với đất và các phương tiện, máy móc, thiết bị và mọi bất động sản khác được xây dựng, mua, nâng cấp và/hoặc gắn liền hay tọa lạc vĩnh viễn, hoặc để phục vụ cho vận hành của nhà máy.
+ Các mỏ nguyên liệu, quyền sử dụng và khai thác tài nguyên các mỏ nguyên liệu, nhà máy tuyển quặng, toàn bộ các máy móc thiết bị phục vụ cho việc vận hành nhà máy được lắp đặt cố định hoặc tạm thời tại nhà máy (toàn bộ các máy móc thiết bị phục vụ cho việc khai thác mỏ nguyên liệu và toàn bộ các máy móc thiết bị phục vụ cho việc vận hành Nhà máy).
+ Xe ô tô; quyền khai thác mỏ chì kẽm Bó Liều tại xã Đồng Lạc và xã Nam Cường huyện Chợ Đồn, tỉnh Bắc Kạn được cấp cho Công ty TNHH Ngọc Linh (thời hạn cấp phép từ tháng 06/2011 đến tháng 5/2016, đến nay đã hết hạn); quyền sử dụng 14.500 m2 đất tại huyện Mỹ Văn (nay là huyện Văn Lâm), tỉnh Hưng Yên; quyền sử dụng đất và tài sản gắn liền với đất của ông Vũ Đức Tuấn và bà Trần Thị Vui tại 381 đường Giải Phóng, quận Thanh Xuân, Hà Nội.
Ngày 23/2, BIDV thông báo bán đấu giá lần thứ 7 nhiều khu đất nông nghiệp và đất ở nông thôn tại TP Sa Đéc, tỉnh Đồng Tháp cùng với nhà kho và máy móc thiết bị.
Cụ thể, đợt đấu giá gồm 25 tài sản. Trong đó có 21 quyển sử dụng đất tại xã Tân Quy Tây, thành phố Sa Đéc, tỉnh Đồng Tháp với diện tích từ 196 m2 tới 6.333 m2. Các khu đất này phần lớn là đất nông nghiệp để trồng cây và đất ở vùng nông thôn.
Cùng với đó là gần 3 nhà kho với tổng diện tích xây dựng gần 7.900 m2 và toàn bộ máy móc thiết bị dây chuyền xây xát, lau bóng gạo.


Đáng lưu ý, phía BIDV không công bố chủ sở hữu của toàn bộ các bất động sản và động sản trên.
Bên cạnh đó, đầu tháng 1/2021 BIDV thông báo bán đấu giá con tàu chở hàng Ocean Queen với giá khởi điểm 152,2 tỷ đồng. Ít nhất, đây cũng là lần thứ 10 nhà băng này rao bán con tàu Ocean Queen. Trước đó, vào tháng 12/2019 và tháng 11/2020, BIDV cũng chào bán con tàu này với giá khởi điểm lần lượt 300 tỷ đồng và 168 tỷ đồng nhưng đều không thành công.

Hàng loạt khoản nợ mới được BIDV rao bán với giá “khủng”
Trong 2 tháng đầu năm nay, nhiều khoản nợ mới được các chi nhánh của BIDV rao bán ráo riết.
Cụ thể, ngày 24/2, BIDV của thông báo bán đấu giá tài sản là khoản nợ của Công ty CP Tập đoàn Đầu tư và Thương mại Thăng Long với giá khởi điểm hơn 149,4 tỷ đồng. Tài sản đảm bảo của khoản nợ là tài sản thế chấp theo các Hợp đồng thế chấp đã ký BIDV với CTCP Tập đoàn Đầu tư và Thương mại Thăng Long.
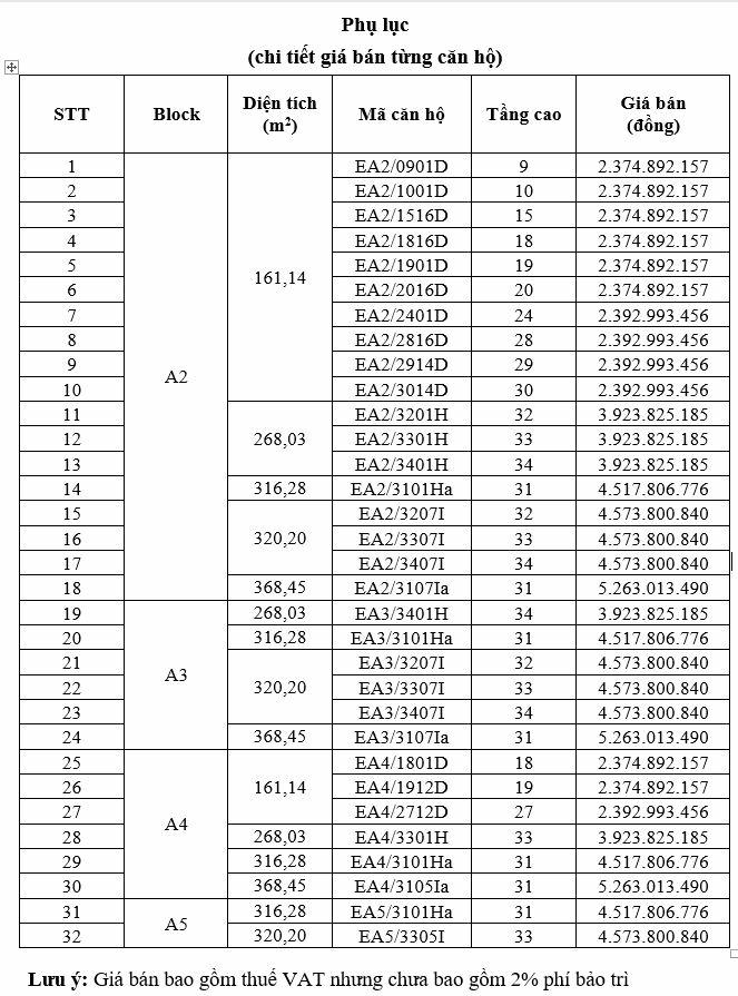
Ngày 4/2, BIDV chi nhánh Gia Định tiếp tục phối hợp cùng Công ty CP Đức Khải chào bán 32 căn hộ chung cư Era Town, quận 7, Tp.HCM với giá trung bình mỗi căn từ 2 đến 5 tỷ. Tổng cả 32 căn có giá trên 100 tỷ đồng.

Bên cạnh đó, BIDV cũng phát đi nhiều thông báo về lựa chọn tổ chức đấu giá hoặc thông báo lựa chọn đơn vị thẩm định giá các khoản nợ trong 2 tháng đầu năm 2021.