DOJI báo lãi tăng 336% trong năm nhiều doanh nghiệp gặp khó

Số liệu tính đến ngày 31/12/2022, “ông lớn” vàng bạc đá quý DOJI đã thu về hơn 1.000 tỷ đồng tiền lợi nhuận sau thuế trong năm tài khóa. Trong khi đó, cùng kỳ năm ngoái con số này chỉ có hơn 233 tỷ đồng.

Số liệu tính đến ngày 31/12/2022, “ông lớn” vàng bạc đá quý DOJI đã thu về hơn 1.000 tỷ đồng tiền lợi nhuận sau thuế trong năm tài khóa. Trong khi đó, cùng kỳ năm ngoái con số này chỉ có hơn 233 tỷ đồng.

DOJI báo lãi tăng 336% trong năm nhiều doanh nghiệp gặp khó
DOJI báo lãi tăng 336% trong năm 2022 - Ảnh minh hoạ.

Công ty cổ phần Tập đoàn Vàng bạc Đá quý DOJI ngày 31/3/2023 đã có văn bản gửi tới Sở Giao dịch chứng khoán Hà Nội công bố thông tin định kỳ về tình hình tài chính năm 2022.

Dữ liệu được Sở Giao dịch Chứng khoán Hà Nội (HNX) công bố sáng nay (20/4) cho thấy, trong năm 2022 vốn chủ sở hữu của doanh nghiệp này đã tăng thêm hơn 1.000 tỷ đồng từ mức 5.332 tỷ đồng của năm 2021 lên 6.361 tỷ đồng vào cuối năm 2022.

Tuy nhiên, đi cùng với việc tăng vốn chủ sở hữu thì hệ số nợ phải trả/ vốn chủ sở hữu cũng tăng mạnh tương ứng từ 1.86 lên 1.95 lần.

Theo báo cáo, đến ngày 31/12/2023 dư nợ trái phiếu/vốn chủ sở hữu của doanh nghiệp này đã giảm mạnh từ mức 0.72 lần xuống còn 0.10 lần.

Đáng chú ý, trong năm qua, khi mà nhiều doanh nghiệp phải giải thể hoặc ngừng hoạt động do tác động của hậu đại dịch Covid -19 và lãi suất tăng cao thì “ông lớn” vàng bạc này thu về mức lợi nhuận sau thuế tăng đột biến tới 336% so với năm 2021.

Cụ thể, theo số liệu tính đến ngày 31/12/2022, trong năm qua “ông lớn” vàng bạc đá quý này thu về hơn 1.000 tỷ đồng tiền lợi nhuận sau thuế. Trong khi đó, cùng kỳ năm ngoái con số này chỉ có hơn 233 tỷ đồng.

DOJI báo lãi tăng 336% trong năm nhiều doanh nghiệp gặp khó
Một số chỉ tiêu kinh doanh của DOJI trong năm 2022. Nguồn: HNX

Do mức thu lời mang về cao cho nên trong năm qua tỷ suất lợi nhuận sau thuế/vốn chủ sở hữu (ROE) cũng tăng mạnh, từ mức 5.02% năm 2021 lên 17.39% trong năm 2022.

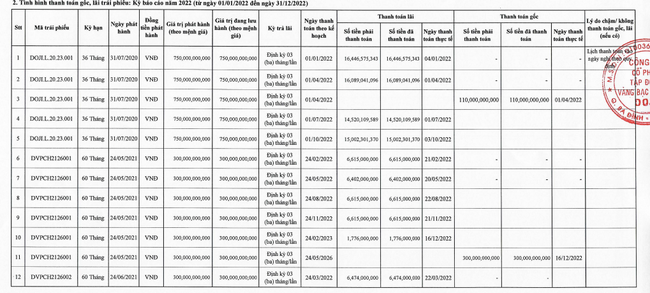
Liên quan đến vấn đề trái phiếu của doanh nghiệp này, trước đó, Công ty cổ phần Tập đoàn Vàng bạc Đá quý DOJI cũng đã có văn bản gửi tới Sở Giao dịch chứng khoán Hà Nội công bố thông tin định kỳ về tình hình thanh toán gốc, lãi trái phiếu năm 2022.

Tại thông báo trên, doanh nghiệp này cho biết, trong năm qua đã thanh toán 110 tỷ đồng tiền gốc trái phiếu vào ngày 1/4/2022. Đây là lô trái phiếu có thời hạn 36 tháng được phát hành vào ngày 31/7/2020 với tổng mệnh giá là 750 tỷ đồng.

Đáng chú ý, vào các ngày từ 16-26/12/2022, DOJI đã hoàn thành tất toán 2.100 tỷ đồng của 4 lô trái phiếu có ký hiệu: DVPCH2126001, DVPCH2126002, DVPCH2126003 và DVPCH2126004.

DOJI báo lãi tăng 336% trong năm nhiều doanh nghiệp gặp khó
Tình hình trả nợ trái phiếu của DOJI.

Theo tìm hiểu, đây hầu hết là các lô trái phiếu được DOJI phát hành với mục đích dùng số tiền thu được để hợp tác kinh doanh, đầu tư với các công ty thành viên và nhằm mở rộng hoạt động trong lĩnh vực bất động sản.

Dữ liệu của HNX cho thấy, chỉ trong khoảng thời gian hơn 1 năm từ 31/7/2020- 20/9/2021 doanh nghiệp này đã phát hành 5 lô trái phiếu liên tiếp với tổng mệnh giá lên tới gần 3.000 tỷ đồng.

Cụ thể, ngày 31/7/2020, Công ty cổ phần Tập đoàn Vàng bạc Đá quý DOJI đã phát hành lô trái phiếu DOJI.L.20.23.001 với giá trị 750 tỷ đồng.

Tiếp đó, ngày 24/5/2021, doanh nghiệp kinh doanh vàng bạc này tiếp tục phát hành lô trái phiếu DVPCH2126001 với mệnh giá 300 tỷ đồng. Sau đó, tròn 1 tháng, vào ngày 24/6/2021 lại tiếp tục cho lưu hành ra thị trường một lô trái phiếu DVPCH2126002 cùng với mệnh giá 300 tỷ đồng.

Đặc biệt, trong tháng 9/2021, DOJI đã phát hành 2 lô trái phiếu với mệnh giá 1.500 tỷ đồng, gồm các mã DVPCH20126003 và DVPCH2126004 vào các ngày 9/9/2021 và 20/9/2021.

Tuy nhiên, trong năm 2022, khi nhiều vụ huy động trái phiếu trái quy định của pháp luật, điển hình như vụ Tân Hoàng Minh, Vạn Thịnh Phát được phanh phui đưa ra ánh sáng, trong tháng 12/2022, Công ty CP Tập đoàn Vàng bạc Đá quý DOJI đã ráo riết mua lại trước hạn toàn bộ 4 lô trái phiếu với tổng giá trị 2.100 tỷ đồng.

Hiện ông lớn vàng bạc đá quý này chỉ còn dư nợ duy nhất lô trái phiếu DOJI.L.20.23.001 với khối lượng đang lưu hành là 1.400.000 và mệnh giá là 100.000 đồng/ trái phiếu, tương đương 140 tỷ đồng.

Trong lĩnh vực bất động sản, DOJI được biết đến bởi sở hữu nhiều toà nhà ở “vị trí vàng” của Hà Nội và TP.HCM, như: Tòa nhà DOJI Tower tọa lạc tại số 5 Lê Duẩn, Hà Nội do hợp tác đầu tư với Hapro đang được DOJI sử dụng làm trụ sở chính; tòa nhà Ruby Plaza tại số 44 Lê Ngọc Hân, Hà Nội; tòa nhà Ruby Tower số 81-83-85 Hàm Nghi, quận 1, TP. HCM.

Ngoài ra, “ông lớn” vàng bạc này còn đang có quỹ đất lớn tại một số dự án như: Khu đô thị Nam Vĩnh Yên có tổng diện tích 65,6 ha, tổng số vốn đầu tư 3.900 tỷ đồng; Dự án chung cư cao cấp The Sapphire Residence (TP. Hạ Long, Quảng Ninh) với quy mô 4,77 ha, tổng mức đầu tư 4.272 tỷ đồng.

  Báo cáo của Tổng cục Thống kê cho biết, năm 2022, cả nước có 143.200 doanh nghiệp rút lui khỏi thị trường. Như vậy trung bình có mỗi ngày có khoảng 400 doanh nghiệp đóng cửa. Trong 143.200 doanh nghiệp rút lui khỏi thị trường năm 2022 gồm có: 73.800 doanh nghiệp tạm ngừng kinh doanh có thời hạn (tăng 34,3% so với năm 2021); 50.800 doanh nghiệp ngừng hoạt động chờ làm thủ tục giải thể, (tăng 5,5%); 18.600 doanh nghiệp hoàn tất thủ tục giải thể (tăng 11,2%).
Minh Quang